Mākslas fotogrāfijas ģenēze padomju Baltijas republikās. Teorija attēlos
Igaunijas foto recenzenti neatbalstīja amatieru aizraušanos ar 19. gadsimta ainavu un sižetiskās glezniecības stereotipiem un veicināja interesi par dokumentāliem tēlu avotiem, kā arī fotogrāfisku skatījumu uz realitāti. Latvijā dokumentalitātei nepaveicās nedz teorijā, nedz praksē. Mākslas latiņu fotokonkursos un izstādēs 20. gadsimta 60. gadu sākumā noteica profesionālie fotoreportieri. Mākslu viņi saprata kā realitātes fiksāciju ar estetizējošiem fotogrāfiskiem izteiksmes līdzekļiem. Neierastie rakursi un leņķi, superkontrasti, īpatnējs apgaismojums (lukturi naktī, Martenkrāsns) ātri vien kļuva par industriālā foto štampiem. Fotoklubs Rīga noraidīja šo stilistiku, bet par upuri krita dokumentālais foto kā tāds. Rīdziniekiem galvenais mākslinieciskuma kritērijs bija nevis objektīvās ārējās, bet gan autora subjektīvās iekšējās pasaules atveidošana. Lietuvā dokumentālais mākslas foto guva virsroku apstākļu sakritības dēļ. Kauņas, Viļņas, Šauļu un Klaipēdas fotoklubu 1966.–1968. gada izstāžu katalogos dokumentālās fotogrāfijas, kādu mēs pazīstam Sutkus, Rakauska, Požerska, Šontas, Baranauska u. c. daiļradē, ir ārkārtīgi maz vai nav vispār. [174., 175., 176. un 177.]
Starptautiskās izstādes Lietuva–69 katalogā ir jau vairāk radošo fotogrāfiju, kuru vēstījumu skatītājs atklāj, izzinādams cilvēkus un situācijas, bet ne tik daudz kompozīciju un fotogrāfiskos izteiksmes līdzekļus; taču kopumā izdevums nerada priekšstatu, ka dokumentālisms būtu lietuviešu fotogrāfijas skolas pamatā. [178. attēls] Situācija strauji mainījās 1969. gada otrajā pusē pēc deviņu fotogrāfu izstādes Maskavā, kuru autoritatīvi kritiķi ļoti atzinīgi novērtēja. Turpmākajos gados dokumentalitātes atbalstītāji gan Viļņā, gan Maskavā centās teorētiski pamatot ideju, ka fotodokuments var būt māksla. Savukārt inscenēšanas un pēcapstrādes piekritēji centās argumentēti apstrīdēt dokumenta mākslinieciskuma potenciālu, lai reabilitētu Kauņas fotokluba piekopto mākslas stilistiku. Īstenībā gan kritiku viņi vērsa pret preses foto štampiem, taču trāpīja lietuviešu skolas dokumentālismā. Pēcpadomju zinātnieki turpināja dokumentālisma noliegšanu disertācijās un monogrāfijās 21. gadsimtā.
Šajā rakstā parādīšu, kā fotogrāfi izmanto dokumentēto realitāti mākslas fotogrāfijā. Stāstījuma struktūru lielākoties veido iepriekšējā rakstā izklāstītie fotogrāfijas radīšanas un interpretācijas aspekti.
Preses štampi un dokumentālisms
Lietuvas Fotomākslas biedrība monopolizēja tiesības radīt visu veidu publisko fotogrāfiju, izņemot preses foto. Biedrībā mākslinieki nevairījās no ļoti praktiskiem pasūtījumiem. Reprezentatīvajā albumā Tarybų Lietuva ir daudz labu fotogrāfiju, tomēr saistošs saturs un profesionāls tehniskais izpildījums vēl nepadara attēlu par mākslu. Lietišķais, ilustratīvais un notikumus apliecinošais foto nebija retums Fotomākslas biedrības rīkotajās izstādēs, kuras zīmols ļāva publikai uztvert šādus foto kā mākslu. Margarita Matulīte (2011) minēja, ka Fotomākslas biedrība centās palīdzēt izstādīties visiem saviem biedriem neatkarīgi no viņu mākslinieciskiem sasniegumiem. Protams, pieblīvētajā izstāžu grafikā daudz mākslas nemaz nevarēja radīt. Līdzās izcilajiem Aleksandra Macijauska un Virgīlija Šontas darbiem stendos ir gan profesionāli veidoti informējošie foto, gan darba cilvēka patētiska heroizācija (Djomin 1979). Izstāžu saturu pieskaņoja provinces auditorijai, kura attēlos meklēja savas dzīves pieredzes atspoguļojumu, nevis mākslinieku estētiskās koncepcijas. 70. gadu beigās daži lietuviešu kritiķi mēģināja skaidri nodalīt īsto mākslu no jebkādā veidā nofotografēta dokumenta. Mākslas pazīme ir fotogrāfa subjektivitāte, kas ir materializējusies roku darbā, taču dokumentālisti tikai mehāniski piefiksē priekšmetu ārējo veidolu – tāda bija šo kritiķu tēze.
Arī igauņi preses foto štampus mēdza identificēt ar dokumentālismu, taču viņi nevis noraidīja dokumentālā foto izteiksmes potenciālu, bet mācīja fotogrāfus ietērpt dokumentālo estētiskajā formā (Gens 1965, Rünk and Lukats 1980, Stolovitš 1980).

Lietuvas avīžu fotokorespondenti taisīja ļoti vājas fotogrāfijas: grupas portretos sastādīja cilvēkus vienveidīgā frontālā kompozīcijā un kadrēja līdz viduklim, individuālajos portretos iestudēja strādnieku manipulācijas ar darba rīkiem. Igaunijā un Latvijā reportieri vismaz eksperimentēja ar rakursiem, kompozīciju un centās tvert spontāno kustību. [179. attēls] Problēmas risināšanai lietuvieši veltīja konferenci Fotogrāfija un mūsdienīgums. Kvalitātes uzlabošanai referenti aicināja celt profesionālismu, kuru nereti izprata kā mākslinieciskumu. Ziņu aģentūras ELTA direktors Baliss Bučelis (1977) vispār nojauca robežu starp žurnālistiku un mākslu. Dokumentālajā fotomākslā viņš redzēja preses foto glābiņu un tāpēc mudināja fotomāksliniekus nodarboties ar žurnālistiku. Žurnāla Sovetskoje foto galvenā redaktore Marina Bugajeva (1977) skaidri atšķīra fotomākslu no fotožurnālistikas. Viņas galvenais vēstījums konferencē: fotogrāfiju var un vajag izmantot mediju komunikācijā, taču to kavē neprasmīgie foto korespondenti. Bugajeva aicināja reportierus paaugstināt profesionālo latiņu, nevis līdzināties māksliniekiem. Savukārt Virgīlijs Juodakis (1977) kategoriski atteicās atzīt dokumentālā foto māksliniecisko potenciālu.

Starp citu, Aleksandrs Macijausks praktiski jau bija apgāzis Bučeļa tēzi, ka māksla glābs preses foto. Vairākus gadus strādādams laikrakstā Vakarinės naujienos, prominentais fotomākslinieks nemaz nepaļāvās uz savu talantu atraisīt portretējamos kameras priekšā un notvert spontānu kustību. [180. attēls] Savukārt daži rīdzinieki bez mākslinieka ambīcijām šajā pašā laikā drosmīgi eksperimentēja ar portretu kompozīciju un Macijauskam tīkamo platleņķi, radīdami saistošas ilustrācijas laikrakstā Sovetskaja Latvija.
Zinātnieku domstarpības par preses foto, lietišķo foto, fotodokumentu un mākslu ieviesa vēl vairāk neskaidrības par dokumentālo fotomākslu. Fotogrāfijas pētnieki vairoja klasifikācijas shēmas, bet nespēja vienoties par pamatprincipiem un terminoloģiju. Neaizmirsīsim, ka šajā laikā klasiskā lietuviešu skola pārdzīvoja krīzi, kuru Anri Vartanovs (1975) pamanīja izstādē Cilvēks un zeme.
Pētnieki piedāvāja šādas fotogrāfijas klasifikācijas shēmas (Irina Baļtermanca 1977):
– dokumentālā, zinātniskā, mākslinieciskā (Moisejs Kagans),
– hronikālā, dokumentālā, estētiskā (Anri Vartanovs),
– žurnālistiskā, mākslinieciskā, zinātniskā, lietišķā (Grigorijs Čudakovs),
– mākslinieciskā, žurnālistiskā, zinātniskā (Irina Baļtermanca).
Lietuviešu fotomākslas skolas pamatā ir dokumentāls, neinscenēts un laboratoriski nemanipulēts tēls, bet mākslas zinātnes autoritāte Moisejs Kagans dokumentālo pretstata mākslai. Vartanovs atšķir hronikālo no dokumentālā. Ja Vartanovs šādi pretstata preses foto Požerska, Sutkus u .c. dokumentālismam, tad sanāk, ka viņiem nav vietas kategorijā “estētiskais”, kurā bez ierunām var iekļaut tikai Kauņas fotokluba darbus. Tā kā problemātiski ir jau semantiski nestabilie kategoriju nosaukumi vien, tad par kategoriju robežām var strīdēties bezgalīgi. Vienīgais, ko droši var apgalvot, ir tas, ka terminoloģija un klasifikācija negarantē lietuviešu skolas dokumentālismam skaidru vietu mākslas un estētikas kategorijās.
Tagad paskatīsimies, kādu ieguldījumu Zigfrīda Kraukauera, Andrē Bazēna un Sergeja Daugoviša proponētā fotogrāfijas dokumentālā daba sniedz mākslinieciskā tēla radīšanā.
Acumirklīgums un fotogrāfiskais


Dokumentālā foto māksliniecisko potenciālu ilustrē Aleksandra Macijauska sērija Veterinārā klīnika. Lūk, Viktora Djomina (1979) interpretācija – fotogrāfijas ir dokumentālas, jo tapušas reālā situācijā, veterināriem īstenojot ierastas rutīnas darbības. [181. un 182. attēls] Mākslinieks iekļuvis publikai slēgtā telpā, atradis īpašus rakursus (ikdienā mēs tā neredzam cilvēkus, kuri veic savu darbu) un izteiksmes līdzekļus (garais fokuss izceļ kādu detaļu) – tas piesaista skatītāja uzmanību, šokē, liek domāt. “Sērija ir autora mutuļojošā enerģija, kas iezīmē katru fotogrāfiju, virzās uz spēcīgiem fotogrāfiskā apraksta līdzekļiem (asi leņķi), platleņķa optiku, līniju un virsmu lūzumiem, nevienlīdzīgu izmēru un plakņu pretstatījumiem, kompozīcijas absurdiem, kad kadra priekšplānā daudz vietas aizņem it kā sekundārs objekts, – to visu diktē īpaša lietu izpēte.” Sērijas vērtība nav informācija par cilvēku, vietu un darbību – tas ir māksliniecisks stāstījums par cilvēka un dzīvnieka attiecībām. Djomins turpina: “Sāpes ir klusas, bez atbildes, bez pretestības – cieš “mazie brāļi”, mājdzīvnieki. Lūk, gaidas – kurš gan, ja ne vecākie brāļi, spēj palīdzēt? Cilvēki dziedina, nomierina, cīnās ar sāpēm un nāvi, nepiekāpdamies un izmantodami dažādus trikus, tomēr ne vienmēr uzvar. Kas viņi ir, šie cilvēki? Cīnītāji? Nekādā gadījumā! Paskatieties uz šo vidi! Drīzāk tā ir šķīstītava nekā svētnīca. Un tādi cilvēki kā jūs un es. Un dzeloņaini, un noguruši, un dažos gadījumos apmaldījušies, un uzvaroši priecīgi, un bezcerīgi skumji par sakāvi, un laimīgi, jo ir izpildījuši savu grūto cilvēcisko pienākumu. Tas ir humānisms līdz nabai kūtsmēslos, un tad tas ir simtreiz pārliecinošāks kā upuris, nevis kā pakalpojums. Gudras, nežēlīgas, cēlas, vārdu sakot, lieliski piemērotas fotogrāfijas sērijai.”

Emocionālā saviļņošana un empātijas izraisīšana nav obligāta lietuviešu skolas īpatnība. Antans Dīlis fotogrāfisko izmanto, lai ikdienišķo rutīnu ietvertu estētiski izteiksmīgā ietvarā. Viņš atrod skatpunktu, no kura objekti izskatās sakārtoti acij tīkamā ģeometriskā kompozīcijā. [183. attēls] Ar šo nolūku Dīlis bieži izmanto augsto un zemo rakursu. Reālie objekti pārtop formās un līnijās, plastiskos izteiksmes līdzekļos, kuri acumirklīgam dokumentam piešķir estētisku vērtību. Pārliecība, ka industriālo skatu fotogrāfs ir iestudējis, nemazina estētisko baudu, jo mēs novērtējam radošo spēju iztēloties kustības vektoru un masīvu apjomu izkārtojumu kadrā, kā arī prasmi koordinēt daudzu cilvēku rīcību, lai tēlu realizētu īstenībā. Rezultātā statiskā realitāte attēlā iegūst tēlainu dinamiku.
Ontoloģija un fotogrāfiskais

Pētot attēlus, mēs pārliecināmies par cilvēka redzes fizioloģijas un skatīšanās situācijas ierobežojumiem. Fotogrāfs var pārkontekstualizēt ainu, kā rezultātā atklājas līdz šim nepamanīta fenomenu cēlonība. Reiņa Hofmaņa fotogrāfijas ir labs piemērs tam, kā ikdienas apkārtni var apjēgt jaunajā kontekstā, kuru rada apgaismojums. Lietu ontoloģiju Hofmanis atklāj, aicinādams mūs pētīt tās tumsā. Teritorija vārda tiešā nozīmē parāda, ka privātuma izjūta tumšajā telpā ir maldīga. Un tas nav viss. Garā ekspozīcija trūcīgā apgaismojuma apstākļos maina iespaidu par telpiskumu, gaišas virsmas atveido siltā gaiši pelēcīgā tonī, bet krāsainām virsmām piešķir lielāku piesātinātību. [184. attēls]

Sērijā Room No. 13 fotografētas palīgtelpas kādā pamestā ēkā. Manipulēdams ar ekspozīciju, pamesto un pelēcīgo Hofmanis pārvērtis estētiski pievilcīgā vidē. Izrādās, ka lietu ontoloģija ir pavisam citāda, nekā mēs to redzam dienas gaismā. Ja cilvēka redzes fizioloģija būtu citāda, tad mums būtu pavisam cita ikdienišķā izpratne par “dabiskām” lietām. [185. attēls] Hofmanis spēlējas ar vārdu “skatpunkts”, “redzējums”, “pasaules skatījums” tiešām un netiešām nozīmēm: redzējumu (izpratni, viedokli) determinē redze, bet fotokamera paplašina redzi un var pavērt arī redzējuma horizontus.
Inscenējums, acumirklīgums un air
Romualds Rakausks, gaidīdams dabas pamošanos, savlaicīgi izplāno kadrus. Tā vairāku gadu garumā tapusi sērija Ziedēšana. Fotogrāfs neslēpj, ka attēlu varoņi pozē kamerai, taču pats inscenējuma process viņam ir dokuments. Lauku ļaudīm pozēšana ir reāls notikums, un viņi to izdzīvo kameras priekšā. Acumirklīgi tvertā ķermeņa ekspresija jeb air pārliecina skatītāju par patiesu emocionālo pieredzi fotosesijā. Tas ir prieks tēlot, sadarboties ar fotogrāfu, kārtējo reizi apbrīnot dabas atmošanos.
Līdzīgi rīkojies Binde, fotografēdams režisoru Eduardu Smiļģi. Fotogrāfs tīšuprāt izaicināja režisoru uz sarunu, uztaisīja vairākus uzņēmumus augšupvērstā leņķī un atlasīja izteiksmīgāko. Mākslinieka talants ir radīt psiholoģisko kontaktu ar portretējamo un tvert spontāno ķermeņa ekspresiju. Portrets ir acumirklīgs, tas ir konkrēts, nevis vispārināts. Vispārinājums notiek tad, kad skatītāji interpretē šo portretu kā Smiļģa raksturu apzīmējošu. Mākslīga scenogrāfija ir tikai instruments cilvēka atraisīšanai, bet portretējamais prezentē sevi tādu, kāds viņš mēdz būt diskusijā ar ieinteresētiem klausītājiem.
Acumirklīgums un air
Lielākoties lietuviešu dokumentālisti iztiek bez inscenēšanas un pat bez vides konteksta. Visu informāciju sniedz ķermeņu ekspresijas. Šonta veido un uztur ilgstošas draudzīgas attiecības ar saviem varoņiem un tver acumirklīgus kadrus, līdzdarbodamies notikumā, nevis novērodams notiekošo no malas. Rakausks neuzbāzīgi novēro cilvēkus no liela attāluma ar gara fokusa objektīvu. Sutkus, pārvarēdams sociālo distanci, veido acumirklīgas attiecības ar varoņiem, kuri spontāni atsaucas garāmgājēja uzrunai attiecīgajākontekstā. Fotogrāfiju estētiskā vērtība ir atvērtais teksts: mēs turpinām rekonstruēt dialoga situācijas, paši iesaistāmies dialogā ar varoņiem, jo fotogrāfs laipni atdod mums savu vietu kadra šajā pusē.

Nav pārsteigums, ka gan diletanti, gan profesionāļi daudz fotografē bērnus – viņu klātbūtne kadrā garantē ticamu air, jo bērni vēl nav iemācījušies kontrolēt savus ķermeņus saskaņā ar sociālām prasībām (hexis corporelle Pjēra Burdjo terminoloģijā). Bērni koncentrējas uz savām nodarbēm, nepievērzdami uzmanību kamerai. Savukārt iestudējumos pati fotografēšana ir reāls dzīves notikums, kurā bērni spontāni demonstrē attieksmi pret fotogrāfu un fotokameru. [186. attēls]
Inscenējums

Inscenētās mākslas fotogrāfijas piekritēji, piemēram, Gunārs Binde, iet citu ceļu. Viņi nevis rāda cilvēku izdzīvojam kādu situāciju, bet rada mizanscēnu, kura funkcionē kā sociālais kods psiholoģiskā stāvokļa izsecināšanai. “Kad man rodas nākamā uzņēmuma ideja, es ilgi īstenībā meklēju tādu objektu vai tādu situāciju, kuras attēlojums var paust šo ideju. Gadās, ka sakritība nenotiek, tad iecere paliek nerealizēta. Ja iespējams, pats radu vajadzīgo situāciju, izmantojot tā saucamo iestudējumu,” tā par savas jaunrades metodēm Binde stāstīja žurnāla Sovetskoje foto korespondentam (Koroļov 1970). Fotogrāfijā Aizvainotā vēstījuma smagumu uzņemas scenogrāfija – šaura eja starp betona sienām un gaismēnas kontrasts. [187. attēls] Aizvainojuma emocija ir reprezentēta simboliski. Lietuviešu skola emociju parāda bez papildu vizuāliem stimuliem – pietiek ar pārdzīvojošo ķermeni. Irēnas Giedraitienes nofotografētās meitenes rūpes ir viņas ķermenī, nevis scenogrāfijā. [139. attēls]


Romualds Rakausks aiz puikas apvalka pamanījis pieaugušā svētceļnieka ikdienas raizes. [188. attēls] Antans Dīlis atklājis, cik smagi jauniem muzikantiem svešos svētkos uzturēt svešu cilvēku prieku. [189. attēls]


Salīdzināsim divus tematiski līdzīgus attēlus: Gunāra Bindes Siena (1964) un Romualda Rakauska Maigums (1968). [190. un 191. attēls] Abos redzam sievietes un vīrieša attiecības kādā emocionālā mirklī. Iespaids par kadrā ietverto emocionalitāti nav viens un tas pats: Sienā pāris reprezentē fotogrāfa iestudētās emocijas, Maigumā pāris prezentē izdzīvotās emocijas, ko fotogrāfs novērojis no liela attāluma ar gara fokusa objektīvu. Rakauska fotogrāfija ciešāk piesaista uzmanību, rosina emocionālo atbildi, jo momentānums nodrošina ticamu psiholoģiskās situācijas prezentāciju: ķermeņu motorika ir redzamā čaula, apvalks, gliemežnīca, kurā ir eksteriorizējies psiholoģiskais stāvoklis. Jauniete un jaunietis tieši šajā brīdī pārdzīvo emociju, un tāpēc tas, ko mēs redzam, ir šīs emocijas pilnvērtīga, holistiska ekspresija.
Binde iedomājas, kā emocijām vajadzētu izskatīties, un modeļi materializē autora ieceri ar saviem ķermeņiem. Tēlodami psiholoģisko stāvokli fotosesijā, viņi apzināti kontrolē motoriku, bet nespēj imitēt pilnīgi visas detaļas, kas nepieciešamas holistiskai ekspresijai. Rakauska attēlā emocijas ir prezentētas, Bindes attēlā – reprezentētas. Rakausks liek mums identificēties ar personāžiem un dzīvot līdzi. Binde liek mums atpazīt sociālo situāciju un saprast notiekošo. Bindem ir ļoti svarīgs iepriekš pārdomātais estētiskais efekts: uz perfekti atveidotās melnas koka sienas tekstūras fona kontrastaini izceļas gluda balta figūra, ko ieskauj divas pelēkas figūras: sievietes seja un vīrieša seja un delna. Viss ir pārdomāts kā klusajā dabā, katrai detaļai ir metaforiska nozīme, tāpēc neatrodam nevienu punctum-I, kas atbrīvotu attēlu no autora kontroles. Rakauska acumirklīgais foto savukārt ir tvēris kādu punctum-I: mūsu acis slīd lejā pa kreisi uz jaunieti ar atvērtu muti. Piešķirdams attēlam ironiju, jaunietis tikai pastiprina maiguma izjūtu, jo pārliecina par kadra spontānumu. Antans Sutkus tāpēc atteicās portretēt publiskos intelektuāļus, jo kameras priekšā viņi spēlē sociāli kodētu slavenības lomu, nevis spontāni atbild uz vides radītiem stimuliem.

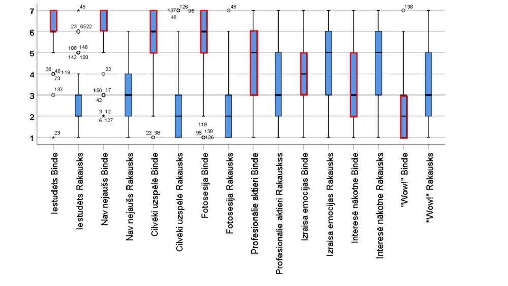
Cik pamatota ir mana interpretācija? Sekodams Aleksandra Puškina ieteikumam, pārbaudīšu harmoniju ar algebru. RSU Sociālo zinātņu fakultātes studentiem (N = 160) piedāvāju novērtēt astoņus apgalvojumus skalā no 1 (pilnībā nepiekrītu) līdz 7 (pilnībā piekrītu). [192. attēls] Studenti ir vienisprātis, ka Bindes fotogrāfija ir inscenēta: puse respondentu sniedz augstāko vērtējumu 7 (Bindes fotogrāfijas vērtējumi iezīmēti ar sarkano krāsu). Tikai daži sniedza ļoti atšķirīgus vērtējums (attēlā norādīti konkrētu respondentu kārtas numuri anketā). Respondenti nepiekrīt, ka Rakausks būtu inscenējis fotogrāfiju: 81 % piešķīra vērtējumu 1–3. Respondenti ir droši pārliecināti, ka Bindes varoņi uzspēlē emocijas (89 %), bet Rakauska varoņi ir patiesi (78 %). Ne tik viennozīmīgi respondenti vērtēja savu emocionālo iespaidu, to, vai kadrā ir profesionāli aktieri, kā arī savu interesi par nofotografēto personu nākotni – novērtējumi ir plašāk izkliedēti.
Datu statistiskā analīze uzrāda nozīmīgas tendences. Ja vērtējumu “4” interpretē kā neitrālo attieksmi pret apgalvojumiem, tad vidējie aritmētiskie lielumi liecina, ka Bindes Siena ir drīzāk mākslīga un neemocionāla, savukārt Rakauska Maigums drīzāk dokumentāla un emocijas izraisoša fotogrāfija. Tabulā uzskaitītās vidējo aritmētisko vērtējumu atšķirības ir statistiski nozīmīgas.
| Apgalvojums | Siena | Maigums |
| Foto ir iestudēts | 6,18 | 2,47 |
| Cilvēki uzspēlē emocijas | 5,92 | 2,52 |
| Kadrs tapis fotosesijā | 5,80 | 2,09 |
| Kadrā ir profesionāli aktieri | 4,78 | 3,63 |
| Foto izraisa emocijas | 3,88 | 4,46 |
| Man interesanti, kas notika ar šiem cilvēkiem nākotnē | 3,33 | 4,77 |
| Wow! | 2,17 | 3,46 |
| Kadrs ir tapis nejauši | 1,73 | 4,97 |
Faktoranalīze rāda, ka Rakauska fotogrāfijas vērtējumi ir konsekventi divos faktoros:
1) Fotogrāfijas tapšanas apstākļi. Studenti nepiekrīt šādiem apgalvojumiem par mākslīgiem filmēšanas apstākļiem: foto ir iestudēts; cilvēki uzspēlē kamerai; filmēšanā iesaistīti profesionāli aktieri; foto ir tapis fotosesijā; un piekrīt, ka foto tapis nejauši;
2) Emocionālais iespaids. Studentiem ir tendence piekrist šādiem apgalvojumiem: attēls izraisa emocijas; man ir interesanti, kas ar šiem cilvēkiem notika nākotnē. Apgalvojumam par to, ka attēls izraisītu patīkamu pārsteigumu, studenti nepiekrīt, tomēr Bindes fotogrāfijas spēju pārsteigt viņi novērtē vēl zemāk.
Bindes fotogrāfiju studenti vērtēja kā inscenētu un neemocionālu. Vērtējumi ir konsekventi trijos faktoros. Atšķirībā no Rakauska fotogrāfijas uzņemšanas apstākļi sadalījās divos faktoros.
1a) Dalībnieku apzinātā rīcība fotogrāfijas tapšanas brīdī. Studenti piekrīt, ka foto ir iestudēts; cilvēki uzspēlē kamerai; uzņemšanā iesaistīti profesionāli aktieri.
1b) Kadra tapšanas procedūra. Studenti piekrīt, ka foto ir tapis fotosesijā, un nepiekrīt, ka foto būtu tapis nejauši.
2) Emocionālais iespaids. Studenti ir tendēti nepiekrist šādiem apgalvojumiem: foto izraisa emocijas; man ir interesanti, kas ar šiem cilvēkiem notika nākotnē; foto mani patīkami pārsteidz.
Kā ir skaidrojami rezultāti? Rakauska fotogrāfijā studenti redz nejauši tvertu spontāno uzvedību, taču momentānuma fakts pats par sevi automātiski nerada emocionālo iespaidu. Bindes fotogrāfijā viņi saskata pārdomātu fotogrāfa un fotoaktieru rīcību (faktors 1a), taču viņuprāt nav obligāti, ka tas būtu noticis fotosesijā. Piemēram, tas varētu būt kadrs no kinofilmas: aktieri spēlēja, ber fotogrāfs izvēlējās veiksmīgāko kadru.
Fotogrāfiju emocionālā iespaida vērtējumi (faktors 2) atšķiras visai maz, tomēr statistiskie aprēķini apstiprina, ka Maigums ir emocionālāks.Piesardzīgo vērtējumu var skaidrot ar anketēšanas apstākļiem: tā notika auditorijā pirms kārtējās nodarbības, tādējādi situācija neveicināja emocionalitātei nepieciešamo intimitāti.

Binde nav konsekvents, definēdams sava darba procesu un mērķus: “Man patīk fotogrāfijā parādīt cilvēka psiholoģiju, atklāt viņa jūtas pret otru cilvēku, pret darbu, sabiedrību. Mani saista nevis cilvēka ārējais skaistums, bet gan viņa iekšējā pasaule. Gribu ar fotogrāfiju runāt dziļi, spēcīgā vispārinājumā, tādēļ visur meklēju filozofisku attieksmi pret notikumu. To sasniegt ir māksla.” (Skalbergs 1976) Cilvēka iekšējais stāvoklis eksteriorizējas ķermenī, taču Binde tam neuzticas, nievājoši nosaukdams redzamo par ārējo skaistumu. Šāda nevērība mazina sērijas Lidojums estētisko vērtību. [193. attēls] Binde vēlas materializēt sapni, taču skatītājs nevar paildzināt skaisto mirkli, jo fotoaktrises ķermeņa ekspresija, air,atklāj manipulāciju. Ķermenī nav tā plandīšanās viegluma, kāds ir, piemēram, Marka Šagāla gleznās ar gaisā plandošiem cilvēkiem. Fotogrāfijā redzams, ka sievietes viduklis balansē uz kādas noslēptas virsmas un augšstilbu aizmugurējie muskuļi ir sasprindzināti, lai noturētu kājas horizontāli. Gaisīguma konotācijas vietā materializētajā sapnī redzam atlētisku triku.
Inscenējums, montāža un neapzinātais
Inscenējumi un montāžas ļauj vizualizēt fantāzijas, un nereti to avots atrodas neapzinātajā. Psihoanalītisko interpretāciju ierosina filozofisko vispārinājumu cienītājiem tīkamie melnbaltie kontrasti – tie nav formāli plastiskie līdzekļi, bet figuratīvie tēli freidiskajos sižetos. Ar tiem latviešu fotomākslinieki atveido traumatisku personas veidošanās procesu: Edipa komplekss, falliskā māte, atgriešanās mātes miesās, seksuālās identitātes ambivalence (nevainība un grēks, varonīgums un mežonīgums).

Par Gunāra Bindes Nastu lietuviešu dokumentālisma kritiķis teiktu: fotogrāfija dokumentē darba procesu “papardes lapu vākšana matraču ražošanai”. [194. attēls] Attēla kompozīcija veido prezentācijas diagonāli, kura akcentē vecās sievietes nastu, un turpinājumā pēc formu līdzības principa – jaunās sievietes grūtniecību kā nastu. Diagonālē iekļautais izkapts kāts attiecas uz abām nastām: kā pļaušanas rīks tiešā nozīmē un kastrācijas rīks simboliskā. Kastrācijas iemesls – otrā nasta. Raizes par seksualitāti skaidro paparde – tas ir bezdzimumvairošanās augs. Izfantazētajā ģimenes koncepcijā vīrietim vietas nav.

Zenta Dzividzinska fotomontāžā Zemeņu laukā aktivitātes diagonālē novietojusi kailu sievieti, kura šuj baltu kleitu vai palagu. [195. attēls] Prezentācijas diagonālē māksliniece iemontējusi pelēku uzbrūkošu putnu, kurš aktivitātes diagonāles noteiktajā kontekstā simboliski reprezentē mežonīgo seksualitāti. Diagonāļu sadurtnē nokļuvuši sievietes vaļējie mati, kas psihoanalīzē norāda uz atbrīvošanos, kārdināšanu vai kontroles zudumu. Melno matu un baltās muguras kontrasts sievieti padara par ambivalentas seksualitātes iemiesojumu, savukārt pelēks putns netēlo vīrišķo seksualitāti kā galējību iemiesojumu. Turklāt putna novietojums prezentācijas, nevis aktivitātes, diagonālē piešķir tam reaģējošu, nevis aicinošu lomu. Attēla nosaukums liek saskatīt melnbaltajā fotogrāfijā sarkano krāsu, kas ir ambivalentās seksualitātes iekarošanas rezultāts.

Albuma Padomju Latvijas fotomeistari sastādītājs Atis Skalbergs (1986) šīs divas Ilmāra Apkalna fotogrāfijas iemaketēja atvērumā ka diptihu. [196. attēls] Diptiha stāsts saasina Edipa kompleksu: bērns noraida tēva aizliegumu būt kopā ar māti. Fotogrāfija Māte pretstata baltās sievietes nevainību melnās zemes netīrai dabai. Kadru uz pusēm sadala dziļā vaga kā no augļa atbrīvojusies Mātes zemes dzemde. Baltā māte aizved bērnu pa pasivitātes diagonāli prom no vērotāja fotogrāfa/vīrieša. Neatrisinātā Edipa kompleksa efekts redzams diptiha otrajā daļā ar nosaukumu Septiņpadsmit. Pilngadnieks nav drošs par personisko brīvību. Fotoaktieris ieņēmis slēgto pozu, viņš ir iesprostots istabas kaktā starp bērna un pieaugušā mantām, matēto stiklu logi ir ciet un ceļu brīvībā vēl papildus šķērso divi dzeloņaini kaktusi. Fotogrāfijas melnais rāmis atņem pēdējo cerību izkļūt no mātes miesas simbolizējošās šaurības.
Bērnības traumu turpina uzturēt mūsdienu metafotogrāfiskais diskurss. Tēva aizliegumu būt kopā ar māti, par ko padomju fotomākslinieki neapzināti fantazēja iestudējumos un montāžās, izstāžu kuratores un muzeju fondu glabātājas pārnes uz padomju politiskās sistēmas aizliegumiem, kuru fotogrāfi esot izaicinājuši, radīdami metaforiskus attēlus. Akceptēdams tēva aizliegumu, subjekts iegūst neatkarību no mātes, taču kuratoru freidiskais transfers saspīlē subjekta brīvības problēmu.
Acumirklīgums, montāža un fotogrāmatas sintagma
Latviešu recenzenti neganti kritizēja fotogrāfiju tehnisko izpildījumu, bet visai komplimentāri izteicās par mākslinieku vēstījumiem, kurus parasti gan iešifrēja bezsaturīgos pseidofilozofiskos izteikumos. Vienīgā asā domu apmaiņa izvērsās par Vilhelma Mihailovska fotogrāmatu Atklāsme (1982). Uzmanības centrā – tiesības interpretēt un pienākums argumentēt. Trīs recenzenti uzbruka cits citam, bet tā arī nevienojās nedz par kādu filozofisko vispārinājumu, nedz par kritikas ētiku. Pirmo recenziju publicēja kino dokumentālists Ansis Epners (1983a). Tā pat nav recenzija: literārās esejas stilā ar sajūsmu Epners izklāstīja asociācijas, kuras viņam radās, šķirstot albumu. Asociācijas ir subjektīvas, jo tās izraisa personiskā pieredze nofotografētajās vietās un notikumos. Epners pievērš uzmanību tam, kas ir attēlots, bet fotogrāfiskais aspekts pats par sevi viņu neinteresē.


Otrā raksta autors fotogrāfs Gunārs Janaitis (1983) nokritizēja fotogrāmatas piesaisti verbālai komunikācijai. Iebildumus izraisīja pretenciozais grāmatas nosaukums (atklāsme sev vai publikai?), dzejnieces Lijas Brīdakas slavinošie, bet nekonkrētie ievadvārdi, attēlus dublējošā dzeja. Atšķirībā no Epnera Janaitis analizē vizuālo. Precīzāk gan būtu teikt “izsakās par vizuālo”, jo ne vienmēr pamato domu un reizēm pat nenoformulē to. Kā profesionālisma trūkumu Janaitis vērtēja fotomontāžas pēdas. [197. attēls] Viņam kategoriski nepatika Dziesmu un deju svētku fotogrāfijas. “Tās liecina par autora nespēju nokļūt līdz šo svētku būtības atklāsmei,” viņš atcirta, nepaskaidrodams svētku būtību. [198. attēls]
Trešajā rakstā Epners (1983b) iebilda Janaitim, aizstāvēdams savas tiesības interpretēt. “No sava – arī vizuāli domājoša cilvēka bastiona – es centos aizstāvēt to, kas man patīk, lai vismaz nebūtu tikai viens viedoklis,” Epners atspēkoja Janaiša pārmetumus, taču argumentētu dialogu nevēlējās uzturēt. Ceturtajā rakstā Andris Rozenbergs (1983) aizrādīja Janaitim, ka spriedumus vajadzētu pamatot ar attēlu analīzi. Daudzus apgalvojumus “autors, liekas, uzskata par tik acīmredzamiem, ka pat necenšas tos pierādīt”, Janaitim pārmet Rozenbergs un tūlīt atkārto to pašu kļūdu, bez argumentiem noraidīdams Dziesmu un deju svētku fotogrāfijas. “[Mihailovskis] nemaz netiecas atklāt svētku būtību, tomēr recenzenta pārmetums pašreizējā grāmatas kontekstā pilnīgi iespējams.” Kāds ir konteksts un kāpēc tajā fotogrāfijas izskatās neadekvāti? Rozenbergs nestāsta, kāpēc svētkus nedrīkstētu fotografēt bez masu pasākumiem ierastā patosa.

Janaiša un Rozenberga iebildumiem nevar piekrist, jo kā paradigmas viņi redz tikai tēmas. Tik tiešām, attēlu tematiskais izkārtojums rada stereotipisku sintagmu par galvaspilsētas sabiedrisko dzīvi: jaunieši un seniori, sievietes un vīrieši, sports un kultūra, svētki un ikdiena, pagātne un tagadne. Sergejs Daugovišs (1984: 39–40), komentēdams fotoalbumu, aicināja skatītājus nenolasīt attēlu saturu, bet vispirms atrast autora fotogrāfiskās izteiksmes īpatnības un ņemt tās par pamatu metaforiskai interpretācijai. Uzmanīgi pārlapodams albumu Mihailovska izdomātā secībā, atradu šādas īpatnības, kas kopā veido citas paradigmas, un tās savukārt vieno uzņēmumus pāri tematiskām robežām: acumirklīga kompozīcija, nenozīmīgi skati, roku delnas un montāžas pēdas. Fotogrāfs ir tvēris nejaušus, reizēm dekontekstualizētus vizuālos iespaidus, kurus prāts nav apstrādājis jēgpilnā tēlā, jo fotogrāfam garāmgājējam tas ir tikai fons kādai citai figūrai. Atmiņu rekonstruēšanas gaitā iespaidi uzslāņojas, uzmontējas cits citam un ierosina jaunu jēgu. [199. attēls] Nosaukums Atklāsme ir loģisks: fotogrāfija nefiksē realitāti, bet prasa atklāt ko citu aiz acumirklīguma. Epners nolasa bildes kā punctum-II, kas viņā raisa subjektīvu pārdzīvojumu par pagātni. Iekļaudams albumā pašportretu ar ģimeni, Mihailovskis attaisnoja subjektīvu asociāciju plūsmu: tā ir katra skatītāja personiska atklāsme, jo jebkura notikuma centrā ir konkrēts indivīds, kurš drīkst nenovērot apkārt notiekošo ar sociālo kodu brillēm. Daudzu fotogrāfiju kompozīcija pievērš uzmanību roku delnām: tās spēlē klavieres, aplaudē, diriģē, apskauj, sveicina. Fotogrāmatas sintagmā delnu iemontēšana attēlos ir pilnībā pamatota, un nav obligāti slēpt montāžas pēdas. Fotografēdams Dziesmu un deju svētkus, Mihailovskis pieturas pie acumirklīguma principa,. Nogurušo dziedātāju un diriģentu snaudošās sejas ir pretrunā ar kanonisko patētisko stilu, kas prasa demonstrēt cilvēku lepno stāju. (Nekas cits neatliek, kā domāt, ka, aizrādīdami Mihailovskim par nepareizu fotografēšanu, Janaitis un Rozenbergs paturēja prātā tieši šo vizuālo štampu). Pievērsiet uzmanību, ka ar dažādiem plastiskiem paņēmieniem Mihailovskis arī šajos attēlos uzsver delnas. Var strīdēties par Mihailovska fotogrāfiju estētisko vērtību, taču jāatzīst, ka fotogrāmatai ir loģiska vizuāla sintagma.
Skatiens

Fotogrāfija apšauba pasaules redzējumu, demonstrēdama redzes fizioloģijas un skatīšanās ieradumu ierobežojumus. Skatīšanās ir arī sociāla prakse: kurš, kuru, kā un kādos apstākļos drīkst novērot? Izstāžu katalogos, fotogrāmatās un ilustrētajos žurnālos man gadījās atrast tikai divas fotogrāfijas, kuras risina skatiena, gaze problēmu. Žurnālā Pilt ja Sõna publicētā Georgija Cvetkova Ziņkārība atgādina, ka skatoties var arī blenzt, glūnēt, lūrēt, spiegot, urbties, vērot, zīķēt, un turklāt vēl nav skaidrs, kurš kuru vēro. [200. attēls] Kadra kompozīcija unlīnijas tajā uzreiz iedibina fotogrāfa acu kontaktu ar puiku. Tikmēr skaidri nesaredzams pusaudzis (meitene vai zēns?) skatās uz fotogrāfu. Logs ir robeža starp publisko un privāto, un šķiet, ka tas ziņkārīgais ir puika, taču no sarmas logu notīrīja fotogrāfs. Sarma ir laika robeža – gluži kā plaisas vecā fotogrāfijā. Tikai pateicoties tādai sociāli neatbalstāmai ziņkārībai kā lūrēšana, bērni ir sevi iemūžinājuši, lai gan tad viņi neapjēdza, ka zinātkāre bija par nākotni. Ziņkārība tādējādi ir mana ziņkārība par šo bērnu turpmāko dzīvi.

Aļģimanta Kunčus uzmanību saistīja jaunā cilvēka izbrīna pilns skatiens. [201. attēls] Noslēpumaino objektu, kas savukārt saistīja fotogrāfijas personāža uzmanību, viņš pats mums rāda zīmējumā. Tādējādi vērojošo subjektu un viņa novērojamo objektu mēs redzam gandrīz pretskatā, kas nebūtu iespējams lineārās perspektīvas fotogrāfijā.
Fotomāksla Baltijā, 1957–1991
Katrā Baltijas republikā fotomāksla gāja citu ceļu. Apzinādamies savu republiku problēmas, kritiķi un recenzenti domāja, ka kaimiņos ar fotogrāfiju viss ir daudz labāk. Latvijas žurnāliste Inta Lehmusa mudināja mācīties no lietuviešu dokumentālā foto, kritizēdama Rīgas un Liepājas salona foto stilu. Lietuvā mākslas zinātņu doktors Virgīlijs Juodakis mudināja iestudēt un apstrādāt, liegdams dokumentālajam foto mākslas statusu. Igaunijā Pēters Tomings mudināja domāt vizuāli un oriģināli, aicinādams līdzināties latviešiem un lietuviešiem. Igauņi un latvieši bija pārliecināti, ka viņu fotomākslas problēmas atrisinās materiālo un radošo resursu centralizācija pēc Lietuvas parauga. Lietuvā centrālā institūcija finansējumu garantēja, taču radošos eksperimentus kavēja. Igauņi ticēja izstādēm kā radošās domas dzinējiem. Latvijā izstāžu netrūka, bet vietējā fotomāksla līdz ar to daudzveidīgāka nekļuva. Latvieši domāja, ka fotogrāfiem var palīdzēt labi kritiķi un teorētiskas diskusijas. Igauņi profesionāli kritizēja, lietuvieši regulāri debatēja, bet ar fotomākslas attīstību nebija apmierināti ne vieni, ne otri. Lietpratēju nopietnās argumentācijas kopsavilkumu Sergejs Daugovišs (1974) pārvērta ironiskā diskusijā, kurā viņa izdomātie personāži – žurnālists, foto amatieris, mākslinieks, mākslas zinātnieks un estētikas filozofs – sprieda par fotomākslas priekšnoteikumiem. Daugoviša izdomātie un manis citētie reālie speciālisti minēja vairākas lietas, bez kurām fotogrāfs nevar būt fotogrāfs, bet, pārmērīgi socializēdami fotografēšanu, aizmirsa par individuālo talantu. Mans retrospektīvais pārskats demonstrē, ka fotomākslinieki izmantoja daudzveidīgos jau esošos un pašu radītos radošos paņēmienus, lai risinātu vizuālās mākslas un masu komunikācijas izvirzītos izaicinājumus. Pasaules redzējumu un rokrakstu individualitāte ir acīmredzama par spīti materiāliem un sociāliem ierobežojumiem. Jāpiemin, ka fotogrāfijas komentētāji homogenizēja arī kontekstus, kuros skatītāji mijiedarbojas ar fotogrāfisku attēlu. Lai gan šis trūkums piemīt arī mūsdienu kritiķiem, recenzentiem un pat mākslas zinātniekiem. Rezultātā netika un netiek atzīta fotogrāfijas kā zīmes daudzveidība. Pīrsa semiotikā ir vieta desmit (smalkākajā klasifikācijā pat 28) zīmju veidiem. Pārvērtēdams zīmes statusu, skatītājs pilnveido galīgo interpretantu – tāda it nepārtrauktās semiozes būtība. Tāpēc par Baltijas fotogrāfiju droši rakstu: “Turpinājums sekos.”
Atsauces
Baļtermanc, Irina (1977). “Klassifikacija fotografiji po vidam”. Pp. 30–33 in V. Juodakis (ed.) Mokslinės-praktinės konferencijos “Fotografija ir dabartis” tezės. Šiauliai: Lietuvos TSR Fotografijos meno draugija.
Bučelis, Balys (1977). “Meninė fotografija masinės informacijos ir propagandos sistemoje”. Pp. 13–16 in V. Juodakis (ed.) Mokslinės-praktinės konferencijos “Fotografija ir dabartis” tezės. Šiauliai: Lietuvos TSR Fotografijos meno draugija.
Bugajeva, Marina (1977). “Fotografija i glavnaja zadaža desjatoi pjatiletki”. Pp. 10–13 in V. Juodakis (ed.) Mokslinės-praktinės konferencijos “Fotografija ir dabartis” tezės. Šiauliai: Lietuvos TSR Fotografijos meno draugija.
Daugovišs, Sergejs (1974). “Saruna par māksliniecisko”. Literatūra un Māksla, 5. maijs, 11. lpp.
Daugoviš, Sergei (1984). Vvedeņije v fotoestetiku. Rīga: Latvijas Valsts universitāte.
Djomin, Viktor (1979). “Tendencijų kova. Apie lietuvių fotografų parodą “Žmogus ir darbas””. Pp. 80–85 in V. Juodakis (ed.) Parodos ir fotomėgėjai. Vilnius: Lietuvos TSR Fotografijos meno draugija.
Epners, Ansis (1983a). “Turp un atpakaļ Vilhelma Mihailovska melnbaltajā Atklāsmē”. Liesma, 4: 16–17.
Epners, Ansis (1983b). “Vēl viens viedoklis par Atklāsmi”. Padomju Jaunatne, 3. dec., 4. lpp.
Gens, Leo (1965). “Et poleks Käegalöömist”. Sirp ja vasar, 21 May, pp. 5–6.
Janaitis, Gunārs (1983). Cienījamie Padomju Jaunatnes fotosalona turētāji!” Padomju Jaunatne, 25. okt., 4. lpp.
Juodakis, Virgilijus (1977). “Apie sąvokos “meninė fotografija” devalvaciją”. Pp. 40–44 in V. Juodakis (ed.). Mokslinės-praktinės konferencijos “Fotografija ir dabartis” tezės. Šiauliai: Lietuvos TSR Fotografijos meno draugija.
Koroļov, A. (1970) “Poiski Gunara Binde”. Sovetskoje foto, 1: 25–27.
Matulytė, Margarita (2011). Fotografijos raiškos ir sklaidos Lietuvoje sovietizavimas. PhD Thesis. Vilnius: Vilnius University.
Mihailovskis, Vilhelms (1982). Atklāsme. Rīga: Avots.
Rozenbergs, Andris (1983). “Pateikušiem “A”.” Padomju Jaunatne, 28. dec., 4. lpp.
Rünk, Andres and Kristel Lukats (1980). “Kunst kuulub rahvale, aga – fotokunst”. Sirp ja Vasar, 16 May, p. 5.
Skalbergs, Atis (1976). “Portrets latviešu mākslas fotogrāfijā”, Skolotāju Avīze, 4. aug., 4. lpp.
Skabergs, Atis (sast.) (1986). Padomju Latvijas fotomeistari. Rīga: Liesma.
Stolovitš, Leonid (1980). “Fotograafia ja väärtusteooria”. Sirp ja Vasar, 8 August, p. 5, 14.
Vartanovas, Anri (1975). “Fotografija po atviru dangum”. Literatūra ir menas, 13 September, p. 9.